首页
院区介绍
专家介绍
出诊信息
通知公告
就医指南
新闻动态
护理园地
院区文化
健康科普
快速导航
快速导航
地理位置
首页
院区介绍
专家介绍
出诊信息
通知公告
就医指南
新闻动态
护理园地
院区文化
健康科普
快速导航
快速导航
地理位置
请输入您搜索的信息!
EN
首页
院区介绍
专家介绍
出诊信息
通知公告
就医指南
新闻动态
护理园地
院区文化
健康科普
快速导航
地理位置
×
出诊信息
出诊信息
首页
/
出诊信息
/
正文
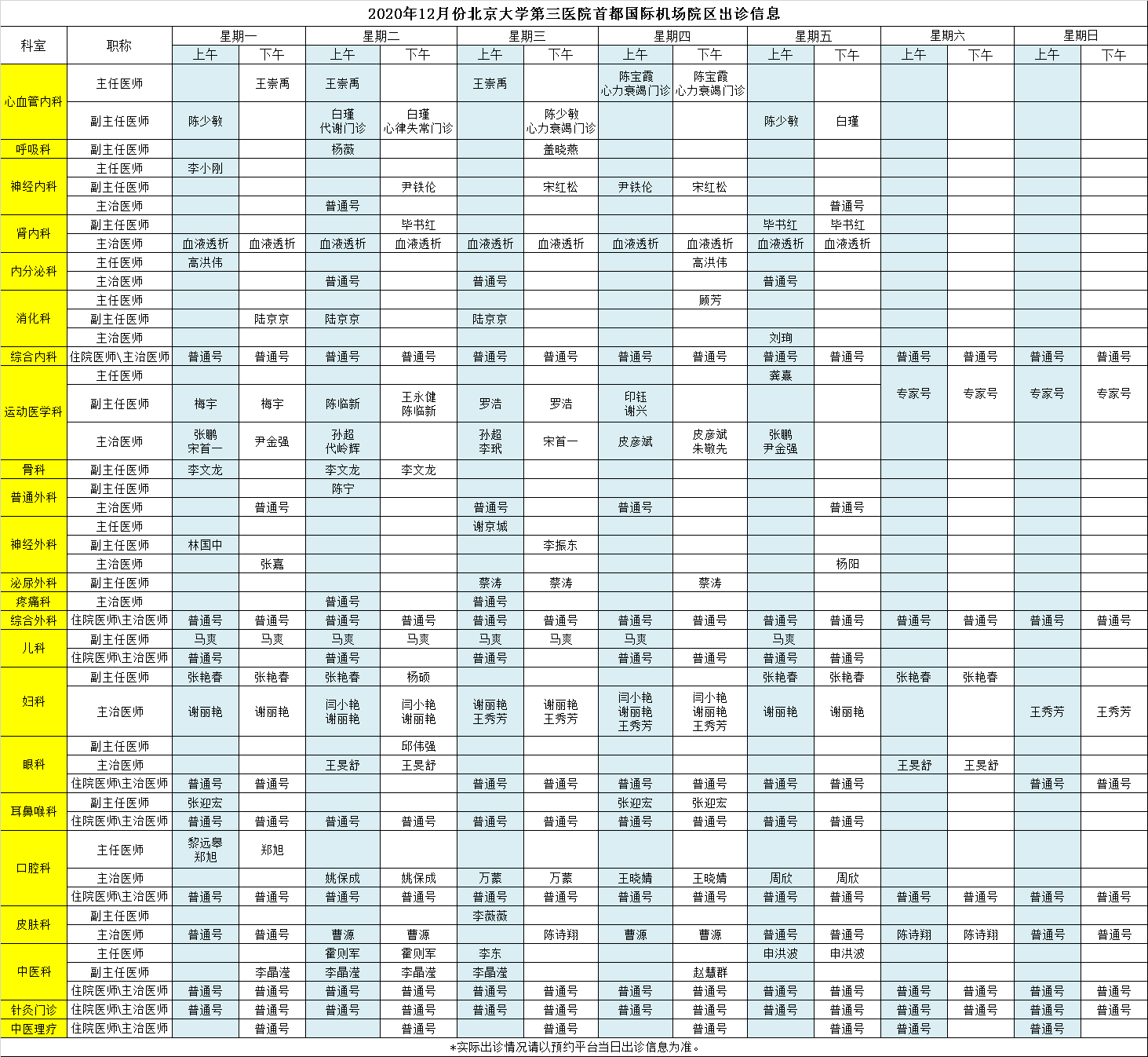
北京大学第三医院首都国际机场院区2020年12月门诊出诊信息
来源:
浏览次数:
发布时间:2020.12.02
分享:
上一条:
北医三院机场院区2021年清明节假期门急诊及住院安排
下一条:
特色门诊介绍丨北医三院心内科白瑾副主任医师心血管代谢门诊11月起于机场院区开诊
返回列表