健康新动态

当前位置: 首页 > 健康新动态 > 正文

类风湿“好”了,能停药吗?能减量吗?

发布时间:2023-04-27    点击数:

类风湿无法治愈,但可以达到临床缓解;

临床缓解时间不足1年的RA患者不建议考虑停药;

部分RA患者减药或停药后仍能在较长时间内保持临床缓解状态,但减停药物会显著增加RA复发风险。

图片


图片


类风湿关节炎(RA)是一种以侵蚀性多关节炎为主要表现的慢性自身免疫性疾病,其关节滑膜炎症最终可能导致软骨和骨的破坏,引起关节畸形和功能丧失。RA治疗强调早期诊断、早期治疗、达标治疗和严密监测,实现临床缓解或更低的临床活动度,减少残疾发生,改善患者的生活质量。药物治疗方面,对于RA的患者,尽早使用改善疾病的抗风湿药物(DMARDs)能延缓关节和骨的破坏,是治疗RA的常规治疗。除了最早用于RA治疗的甲氨喋呤、柳氮磺吡啶、来氟米特的等化学合成类合成DMARDs,近年来还逐渐出现了生物DMARD或靶向合成DMARD(tsDMARD)。随着RA治疗的进展,越来越多的患者临床症状得到了控制,不再有关节肿痛的症状。


图片
图片

那么,类风湿关节怎样才算“好”了?关节不疼、不肿就算好了吗?是不是就能停药了呢?

目前对于RA的患者,我们主要强调的还是疾病的控制而非治愈,就像高血压和糖尿病的患者在确诊之后往往也需要维持长时间的治疗,RA患者即使在症状控制后也不能掉以轻心、随意停药。然而考虑长期使用DMARDs的不良反应及患者的生育需求等问题,部分患者确实存在停药需求,那么什么情况下可以考虑RA患者停药呢?目前,指南建议临床缓解至少6个月的RA患者可以考虑开始减停药物[1],那么怎样才算临床缓解呢?目前用于RA的临床缓解标准有很多,其中应用最广泛的包括Boolean缓解标准和指数缓解标准[简化的疾病活动指数(SDAI)和临床的疾病活动指数(CDAI)],整体来说,可以理解为基本上没有关节肿胀和疼痛,炎症指标如血沉和CRP降至正常。


图片
图片
图片

     

达到临床缓解满6个月、有减停药物意愿的患者该如何停药呢?对RA患者来说减停药物安全吗?会复发吗?

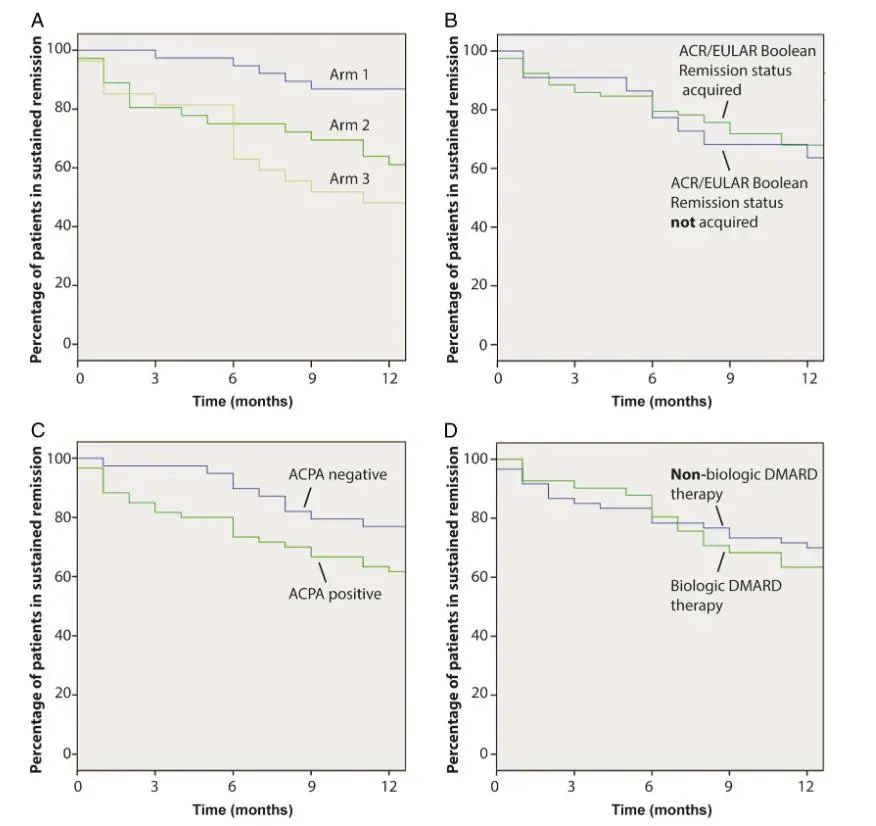
德国的Judith Haschka等学者将临床缓解的RA患者分成了三组,第一组不减药也不停药,第二组将药物剂量减半,另三组患者药物剂量减半且6个月后停药。在全部101例完成研究的RA患者中,有2/3患者在12个月内维持临床缓解状态,另外1/3患者发生了复发,并且复发率在减药半年后停药的患者中最高,达到51.9%,而在减药组和不减药组则分别为38.9%和15.8%。除了药物减停,研究者们还发现ACPA阳性的患者更容易出现疾病复发[2]。


图片



图片
   挪威的Siri Lillegraven等学者在一项临床研究中将160名接受稳定DMARDs治疗且临床缓解达到12个月的患者平均分成两组,其中一组患者药物剂量减半,另一组患者则不减药,研究者们发现,在随后12个月的时间里,26%的减药组患者RA复发,而不减药的患者只有6%复发[3]。

图片

      Siri Lillegraven等学者又把没有复发的药物减半组患者分成两组,其中一组继续服用剂量减半的药物,另一组患者则停药。研究者发现,在停药组的26名患者中,有10名患者在随后一年里出现了RA复发,复发率为38%;而在继续服用剂量减半药物的30名患者中,有5名患者出现了RA复发,复发率为17%。值得注意的是,出现复发的13名患者在重新加用足量DMARDs后,有10名患者在复发后的四周内再次达到了临床缓解状态


图片

    综上所述,减停药物确实会显著增加RA复发风险,但是部分RA患者减药或停药后仍能在较长时间内保持临床缓解状态,且对于减停药物后复发的RA患者,再次加用足量治疗有较高可能性再次达到临床缓解。因此,对于临床缓解时间持续超过12个月的RA患者,可以与医生沟通商讨药物减停的可能性与具体方案,在实施药物减停的过程中一定要坚持随访。


图片
图片
图片

END



分享

地址:北京海淀区花园北路49号  邮编:100191
联系电话:010-82266699  E-mail:bysy@bjmu.edu.cn

Copyright © 2022 北京大学第三医院    京ICP备05082115号-2